近日,bl动漫 数学系2022级博士研究生郭波在由英国剑桥大学George K. Batchelor创办的流体力学国际顶级期刊《Journal of Fluid Mechanics》(中科院小分区一区)上发表了题为“Natural convection of linear entangled polymer in a differentially heated cavity”(53页)的研究成果。该论文与桂林电子科技大学刘荣研究员合作,以bl动漫 为第一单位,bl动漫 数学系司新辉教授为通讯作者。

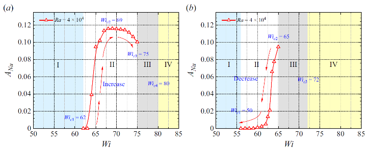
该研究采用数值的方法研究了线性纠缠聚合物溶液中自然对流的流动、传热及分岔。结合边界层和能量分析探究了纠缠聚合物的剪切稀化与弹性效应的竞争对自然对流的流动结构和传热效率的影响。结合流变分析,分别讨论了弱弹性与强弹性下流动的空间分布与传热标度率(图1和图2)。在低Rayleigh数和强弹性的场景下,分别研究了由热浮力和弹性诱导的分岔现象,通过Nusselt数的时间序列和傅里叶分析发现该分岔表现出亚临界分岔所具备的典型迟滞现象(图3)。动能收支平衡分析表明聚合物链的拉伸引发了流动与聚合物之间产生巨大的能量交换,这个动力学行为诱导了流动强度减弱时的自我维持和自我增强过程,从而在流动中表现出强烈的亚临界趋势。该工作为粘弹性热湍流的理论和工程研究提供了新的理论见解。
作者介绍:
司新辉,博士,bl动漫 教授、博导。主要从事非牛顿粘弹性流体、传热传质和数学应用建模的交叉研究。在J. Fluid Mech.、J. Non-Newtonian Fluid Mech.、Phys. Fluids、Intl J. Heat Mass Transfer等期刊发表SCI检索论文70余篇;主持国家自然科学基金面上等项目。
郭波,bl动漫 博士研究生,导师司新辉教授。主要开展粘弹性热、电热对流的数值模拟、分岔及稳定性方面的研究;已发表论文5篇,其中以第一作者2篇论文发表在J. Fluid Mech.、Intl J. Heat Mass Transfer.等,也是bl动漫 作为第一单位在J. Fluid Mech.发表的第一篇论文
文章链接://doi.org/10.1017/jfm.2025.10188

图1 不同松弛时间比下的流动结构

图2 弱弹性下的热湍流标度率

图3 由弹性诱导的亚临界分岔现象